

友歩会第66回・西尾張編Part15(下見)&例会レポート (詳細・拡大)
下見・H28(2016).12.17(土)&例会・H29(2017).2.4(土)
★美濃路沿いにあった舟木一夫生家跡★郷土資料館★俺のふるさと★全員集合 ★西上免遺跡解説★野府城跡の説明★開明・小原の千体地蔵★お歯守さん★奉安殿解説
★天神の渡し跡(一宮市萩原町・日光川の東側)★天神の渡し跡(旧尾西側・日光川の西側)★萩原町案内マップ
★市川房枝生家跡★(コースマップ)★街道地図

一宮市ウオーキングマップ(2016.11)から参照
★開明名所旧跡巡り ★冨田・大徳の史跡や寺社

西上免遺跡/解説 ★topへ![]() ![]() |
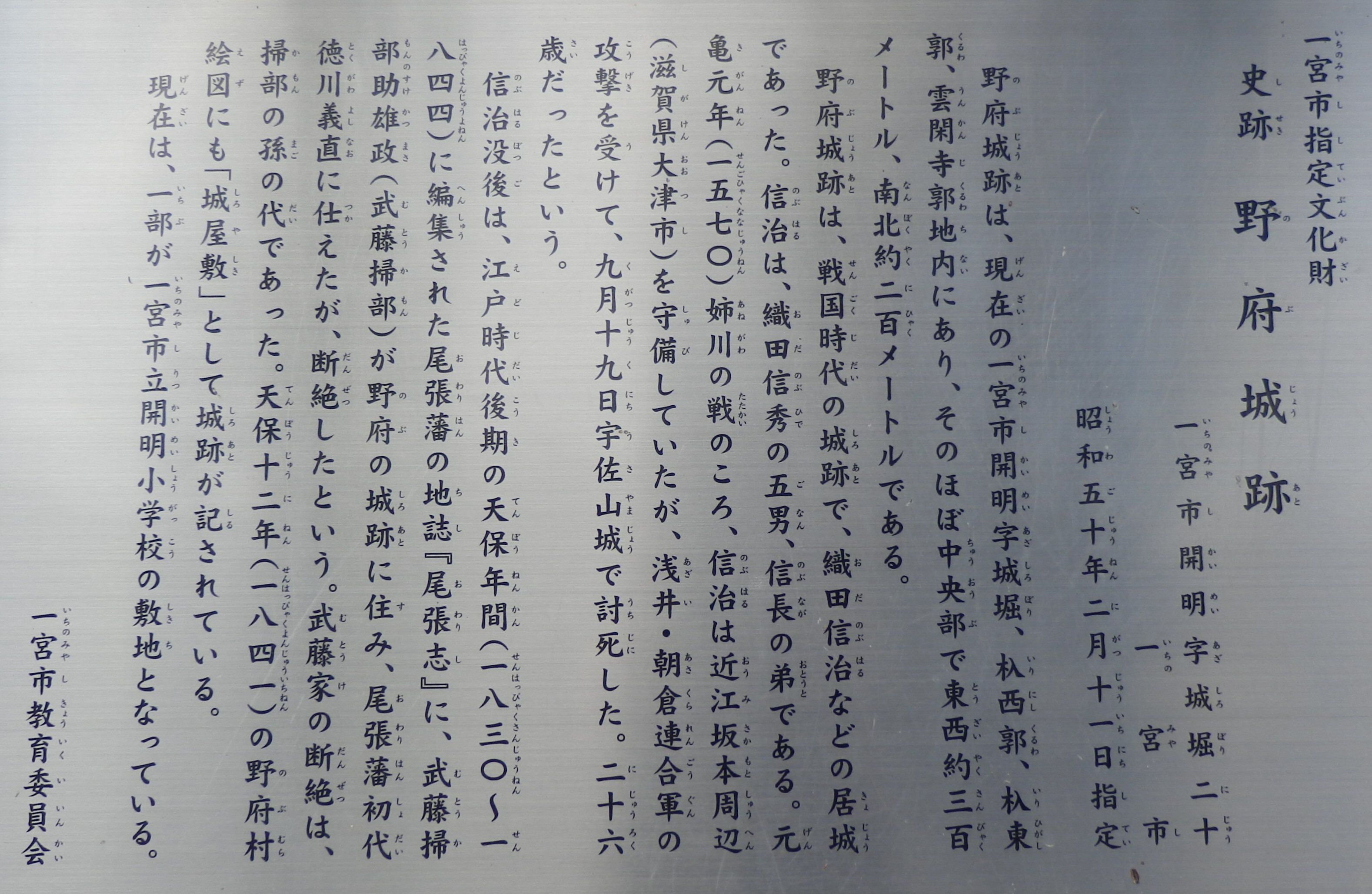
野府城跡の説明 ★topへ![]() |
開明・小原の千体地蔵 ★(コースマップ) ★topへ![]() |
お歯守さん ★topへ ★topへ |
奉安殿解説(三条神社内) ★(コースマップ) ★topへ![]() |
萩原町案内マップ ★topへ ★topへ |
天神の渡し跡(一宮市萩原町・日光川の東側) ★topへ ★topへ★一宮指定文化財 史蹟 天神の渡し跡 天神の渡し跡は、かって之木曽川の主流であった現在の日光川の渡船場の跡で、「萩原渡し」 とも呼ばれた。 日光川は、野府川と五城川(小信川)が合流し、古川、萩原川ともいわれた。 天正十九年(1591)と推測される豊臣秀吉の四奉行連署の『萩原船頭給継目証文』によると、 この年六十石の船頭給が与えられていたことが知られる。 その後、慶長の頃まで引き続き尾張藩によって六十石の給米が支給されていた。 これは天正十四年(1586)の大洪水で、木曽川の主流が現在の位置を流れるようになった後も、 萩原川の流れが広く沼地化として渡船を必要としたのであろう。 その後洪水のたびに川幅が狭められて、渡しは廃止され、萩原宿の西に板橋が架けられた。 天神の渡しの位置は、日光川左岸の萩原山の天神(一宮市萩原町萩原字松山)と、右岸のここ天神 神社のあたりといわれており、両神社の社殿の間は、直線距離でおおよそ四百八十メートルあり、 その頃の川幅の広さを物語る。 (一宮教育委員会) |
天神の渡し跡(旧尾西側・日光川の西側) ★topへ![]() |
舟木一夫縁の地跡n66w001 ★topへ![]() |
郷土資料館n66w002 ★topへ ★topへ |
俺のふるさと ★topへ ★topへ |
全員集合(尾西公園にて) ★topへ ![]() |
市川房枝生家跡 ★topへ![]() |
一宮市ウオーキングマップ(2016.11)からp22、開明名所旧跡巡り ★topへ![]() |
一宮市ウオーキングマップ(2016.11)からp50、冨田・大徳の史跡や寺社 ★topへ![]() ★topへ |
街道地図 ★topへ![]() |

戻る ★(コースマップ)参照 (詳細・拡大) ★topへ

